Điểm chứng khoán là gì? Đây là câu hỏi mà nhiều người khi mới tham gia đầu tư vào thị trường chứng khoán đều đặt ra. Mỗi một phiên giao dịch, điểm số của thị trường chứng khoán đều lên xuống bất định khiến các nhà đầu tư mới tham gia cảm thấy khó hiểu cũng như cách tính loại chỉ số này như thế nào. Việc nắm bắt được điểm chứng khoán và các chỉ số là rất quan trọng với những nhà đầu tư. Khi nắm bắt được xu hướng thị trường thì các nhà giao dịch mới có thể đầu tư có lợi nhuận và hiệu quả. Bài viết hôm nay, Mytrade sẽ giúp các bạn đọc hiểu được khái niệm, cách tính điểm chứng khoán là gì và đặc điểm ý nghĩa của nó đối với thị trường chứng khoán.
Điểm chứng khoán là gì?
Điểm chứng khoán là gì?
Điểm chứng khoán là chỉ số biểu thị sự tăng giảm của thị trường chứng khoán, có thể là toàn thị trường hoặc đối với từng chỉ số riêng biệt. Các nhà đầu tư dựa vào sự lên xuống của điểm số này để xác định xu hướng của thị trường.
Ví dụ: Chỉ số VN-Index đang tăng 11 điểm tại phiên giao dịch ngày 20/03/2022. Số điểm này thể hiện rằng đây là sự gia tăng của các cổ phiếu tăng giá nhiều hơn là các cổ phiếu có giá giảm xuống. Và ngược lại chỉ số VN-Index giảm 5 điểm nghĩa là các cổ phiếu của thị trường đang có chiều hướng giảm. Lúc này điểm chứng khoán được quy định rằng sẽ cho thấy mức giảm giá cổ phiếu trên toàn sàn.
>> Xem thêm: Chứng khoán cơ sở là gì? Tổng quan về giao dịch chứng khoán cơ sở
Bảng điểm chứng khoán là gì?
Bảng điểm giá chứng khoán là nơi thể hiện tất cả các thông tin liên quan đến giá và các giao dịch cổ phiếu của thị trường chứng khoán.
Trên thị trường chứng khoán Việt Nam hiện nay có hai bảng giá riêng là đại diện cho hai Sở giao dịch chứng khoán chính thức gồm bảng điểm giá chứng khoán của HoSE (Sở Giao dịch chứng khoán TP HCM) và bảng điểm giá chứng khoán HNX (Sở giao dịch chứng khoán Hà Nội). Bên cạnh đó, trên bảng điểm giá chứng khoán còn có các loại hàng hóa khác như hợp đồng tương lai, chứng quyền…
Ngoài bảng giá được cung cấp bởi từng Sở, từng công ty chứng khoán cũng xây dựng một bảng giá riêng phục vụ cho khách hàng. Tuy nhiên, tất cả các thông số cơ bản của các bảng điểm chứng khoán giá này là hoàn toàn giống nhau và nguồn dữ liệu đều được cập nhật từ hai Sở giao dịch và Trung tâm lưu ký chứng khoán.
Bảng điểm chứng khoán hiển thị trạng thái giao dịch của thị trường, các cổ phiếu, do đó, việc nắm từng chi tiết của bảng giá sẽ giúp cho nhà đầu tư hiểu được diễn biến của thị trường, diễn biến từng cổ phiếu đang theo dõi để có thể đưa ra các quyết định đầu tư phù hợp và hiệu quả.
Kỹ năng đọc và hiểu bảng giá, đây được xem là kiến thức mà bất cứ nhà đầu tư nào khi tham gia vào thị trường chứng khoán đều phải học.
Chi tiết trên một bảng điểm giá chứng khoán, gồm:

Các chỉ số thị trường
Danh sách các cột trên bảng điểm chứng khoán:
- Mã chứng khoán viết tắt là "Mã CK" : là danh sách các mã chứng khoán giao dịch các mã này được sắp xếp theo thứ tự theo vần từ A – Z.
- Giá Tham chiếu viết tắt là "TC" là mức giá đóng cửa tại phiên giao dịch gần nhất trước đó (trừ những trường hợp đặc biệt). Giá tham chiếu này được lấy làm cơ sở để tính toán biên độ giao dịch của cổ phiếu trong phiên.Tại sàn Upcom, giá tham chiếu này được tính bằng giá bình quân của phiên giao dịch gần nhất.
- Giá Trần – viết tắt là "Trần" thể hiện bằng Màu tím là mức giá cao nhất mà các nhà đầu tư có thể đặt lệnh mua hoặc bán chứng khoán trong ngày giao dịch. Tại sàn HoSE, giá trần tính bằng giá tham chiếu là 7%, sàn HNX là 10% và UPCoM là 15%.
- Giá Sàn – viết tắt là "Sàn" Màu xanh lam) là mức giá thấp nhất mà bạn có thể đặt lệnh mua hoặc bán chứng khoán trong ngày giao dịch. Biên độ tương ứng với giá trần nhưng là chiều giảm.
- Tổng khối lượng viết tắt là "Tổng KL" là khối lượng cổ phiếu được giao dịch trong một phiên.
- Bên mua là khu vực này hiển thị ba mức giá đặt mua tốt nhất (giá đặt mua cao nhất) và khối lượng đặt mua tương ứng.
- Bên bán: Hiển thị ba mức giá chào bán tốt nhất (giá chào bán thấp nhất) và khối lượng chào bán tương ứng.
- Khớp lệnh: Khu vực này biểu thị mức giá khớp lệnh gần nhất của một cổ phiếu, bao gồm giá khớp lệnh, khối lượng khớp lệnh và biên độ giá so với tham chiếu.
- Giá, bao gồm các cột "Giá cao nhất", "Giá thấp nhất" và "Giá TB": Biểu thị biên độ biến động thực tế của cổ phiếu trong phiên giao dịch.
- Dư mua / Dư bán: Biểu thị khối lượng cổ phiếu đang chờ khớp ở hai chiều mua và bán.
- ĐTNN- (Đầu tư nước ngoài): Là khối lượng cổ phiếu được giao dịch của Nhà đầu tư nước ngoài trong ngày giao dịch (gồm hai cột Mua và Bán).
- Giá ATO: đây là giá mở cửa. Lệnh mua hay bán giá ATO được áp dụng trong đợt giao dịch xác định giá mở cửa. Lệnh ATO là lệnh được ưu tiên nhất khi ghép lệnh để thực hiện khớp lệnh xác định giá mở cửa. Lệnh ATO sẽ tự động bị hủy bỏ nếu không khớp hoặc hủy bỏ phần còn lại nếu chỉ khớp một phần.
- Giá ATC: là giá đóng cửa. Lệnh mua hay bán giá ATC được áp dụng trong đợt giao dịch xác định giá đóng cửa. Lệnh ATC là lệnh được ưu tiên nhất khi ghép lệnh để thực hiện khớp lệnh xác định giá đóng cửa.
>> Tham khảo: Phiên giao dịch chứng khoán là gì?
Các chỉ số giá thị trường – INDEX trên sàn chứng khoán
Chỉ số giá thị trường – INDEX STOCK thể hiện giá chứng khoán bình quân hiện tại so với giá bình quân gốc ở thời kì đã chọn. Chỉ số này thể hiện xu hướng giá chứng khoán toàn thị trường đang tăng hay giảm.
Có 4 loại chỉ số chứng khoán đó là:
- Chỉ số cổ phiếu
- Chỉ số trái phiếu
- Chỉ số chứng khoán phái sinh
- Chỉ số kết hợp giữa cổ phiếu và trái phiếu
Trong bài viết này, chúng ta sẽ tập trung vào chỉ số INDEX của cổ phiếu Việt Nam. Các chỉ số này sẽ phân loại theo các sàn chứng khoán đang giao dịch, cụ thể gồm:
- Chỉ số VN – INDEX: Chỉ số chứng khoán sàn HOSE – Sở giao dịch chứng khoán thành phố Hồ Chí Minh
- Chỉ số HNX – INDEX: Chỉ số chứng khoán sàn HNX – Sở giao dịch chứng khoán Hà Nội
- Chỉ số UPCOM – INDEX: Chỉ số chứng khoán sàn Upcom – Sàn giao dịch chứng khoán đại chúng
Ngoài ra với sàn HOSE và sàn HNX còn có chỉ số thống kê của 30 công ty vốn hóa lớn nhất và tính thanh khoản cao nhất, đó là:
- VN30 – INDEX: chỉ số thống kê 30 cổ phiếu có vốn hóa lớn nhất và tính thanh khoản cao nhất sàn HOSE.
- HNX30 – INDEX: chỉ số thống kê 30 mã cổ phiếu có vốn hóa lớn nhất và tính thanh khoản cao nhất sàn HNX.Tìm hiểu thêm về cách giao dịch những cổ phiếu trên các sàn.
Ví dụ: Kết thúc phiên sáng ngày 4/4/2022, chỉ số VN-INDEX tăng 10.47 điểm. Số liệu này thể hiện sự tăng giá của các cổ phiếu được niêm yết trên sàn HOSE.
Điểm chứng khoán được sàn giao dịch công bố tự động hàng ngày và linh hoạt mỗi phiên.
Ngưỡng kỳ vọng điểm chứng khoán là gì?
Tùy vào từng thời điểm và tình hình kinh tế thị trường mà các nhà đầu tư sẽ có những ngưỡng điểm kỳ vọng khác nhau. Khi những chỉ số chứng khoán thoát khỏi nền điểm và tạo ra một đỉnh mới, đây cũng chính là điểm kỳ vọng của các nhà đầu tư trên thị trường chứng khoán.
Khi điểm chứng khoán tạo ra đỉnh cao mới, lúc này các nhà đầu tư hoàn toàn có thể kỳ vọng vào tiềm năng tiếp tục tăng trưởng của thị trường. Tuy nhiên việc này dựa vào sự phân tích các yếu tố vĩ mô trong và ngoài nước.
Cụ thể như: điểm số của VN-Index đã vượt ngưỡng 1422 và tăng trưởng mạnh mẽ vào ngày 28/22/2021. Cùng thời điểm đó, hầu hết nhà đầu tư sẽ muốn thị trường tăng đến ngưỡng 1500. Có nghĩa là 1500 chính là ngưỡng điểm chứng khoán đang được nhà đầu tư kỳ vọng.
1000 điểm chứng khoán là gì?
Thị trường chứng khoán đã vượt mốc 1000 điểm vào năm 2007 (Nguồn: Internet)
Thỉnh thoảng các nhà đầu tư sẽ nhìn thấy điểm chứng khoán tăng đến con số 1000 hoặc cao hơn thế. Vậy khi điểm đạt đến mức 1000 sẽ có ý nghĩa như thế nào đối với các nhà đầu tư?
Mốc điểm vượt 1000 VN – Index là ngưỡng mà cả thị trường chứng khoán luôn kỳ vọng đạt được. Điều này có nghĩa là thị trường chứng khoán đang trên đà phát triển tốt và nhiều cổ phiếu có cơ hội tăng đạt đỉnh.
Hiện nay, thị trường chứng khoán đã vượt mốc 1000 điểm, khi đó lần đầu thị trường đạt được 1.179,3 điểm là ngày 12/03/2007. Sau đó thị trường có xu hướng đi xuống giảm, nên không làm tăng điểm VN – Index. 10 năm sau, điểm đã tăng lại và vượt mốc 1000 điểm và xác lập đỉnh mới đến 1204 điểm trong quý đầu 2018.
1200 điểm chứng khoán là gì?
Sau khi đã đạt đến mốc mong đợi là 1000 điểm và tín hiệu thị trường chứng khoán có tiềm năng đầu tư cũng như các công ty niêm yết phát triển tốt. Lúc này mức 1200 cụ thể là 1204 vào đầu năm 2018 đã thiết lập lịch sử cho thị trường chứng khoán cho đến nay.
Trong năm 2022 điểm chứng khoán luôn dao động ở mức 1200 nên các nhà giao dịch luôn sợ sẽ đánh mất ngưỡng điểm đó. Trong tình hình thị trường hiện nay đã phát triển vượt ngưỡng 1300 và tháng 5/2021 và chạm đến mức 1405,81 vào tháng 6 năm 2021.
Ý nghĩa của điểm chứng khoán là gì?
Điểm chứng khoán có ý nghĩa quan trọng với thị trường
Điểm chứng khoán ngoài việc thể hiện sự tăng giảm giá chứng khoán của thị trường hay cổ phiếu được niêm yết thì còn có những ý nghĩa quan trọng khác cụ thể như:
- Điểm chứng khoán giảm: Khi thị trường có xu hướng giảm, cổ phiếu giảm giá đang chiếm ưu thế, điều này khiến nhiều nhà đầu tư có tâm lý bán tháo.
- Điểm chứng khoán tăng: điều này có nghĩa thị trường đang có xu hướng tăng lên, giá cổ phiếu của toàn thị trường đang chiếm ưu thế. Việc này sẽ hứa hẹn là một thời điểm đầu tư thuận lợi của các nhà đầu tư.
- Phản ánh trực tiếp nền kinh tế: Sự biến động của thị trường chứng khoán sẽ đồng thời cho các nhà đầu tư thấy biến động tỷ lệ thuận của nền kinh tế thị trường. Ví dụ như điểm chứng khoán giảm sẽ cho thấy nền kinh tế đang gặp khó khăn, doanh nghiệp làm ăn thua lỗ, hiểu quản kinh doanh giảm và ngược lại.
- Thể hiện tâm lý nhà đầu tư: Điểm chứng khoán giảm phần nào chứng tỏ nhà đầu tư đang không kỳ vọng khi đó có xu hướng rút lui khỏi thị trường chứng khoán và ngược lại cho thấy sự tham gia vào thị trường chứng khoán mạnh của các nhà đầu tư.
- Tính ổn định và tăng trưởng hay sự khủng hoảng của thị trường chứng khoán, đồng tthời thể hiện rõ tiềm lực của các doanh nghiệp niêm yết.
- Điểm chứng khoán thể hiện sự phát triển của nền kinh tế, thông qua thị trường chứng khoán có thể thấy sự phát triển hay không của nền kinh tế của một quốc gia.
Những yếu tố tác động đến tăng giảm điểm chứng khoán
Những yếu tố tác động đến tăng giảm điểm chứng khoán
Điểm chứng khoán ngoài là con số biểu thị chung của toàn sàn chứng khoán mà còn là thông tin, không phải riêng lẻ một cổ phiếu nào đó bất kỳ vậy nên cơ bản điểm chứng khoán sẽ chịu sự tác động từ những yếu tố cơ bản như sau:
- Các quy định, chính sách giao dịch của chứng khoán: Các quy định, chính sách, những vấn đề liên quan đến đầu tư chứng khoán sẽ tác động ít nhiều đến thị trường chứng khoán, nó ảnh hưởng đến doanh nghiệp niêm yết, ảnh hưởng đến các nhà đầu tư và ảnh hưởng chung đến thị trường chứng khoán.
- Tình hình phát triển của nền kinh tế: Đây được coi là yếu tố quan trọng quyết định, mọi nhà đầu tư có thể nhìn nhận so với thời điểm cách đây nhiều năm về trước thì điểm chứng khoán chỉ vài trăm, tuy nhiên sau thời gian dài thì kinh tế Việt Nam ngày càng phát triển kèm theo đó giá trị của các doanh nghiệp cũng sẽ tăng lên, điều này làm cho giá cổ phiếu tăng và dẫn đến Điểm chứng khoán tăng.
- Tâm lý của nhà đầu tư: Với thị trường chứng khoán này, luôn chịu sự chi phối lớn từ phía nhà đầu tư bởi họ đang bỏ tiền ra để đầu tư mua bán cổ phiếu, khi họ mua 1 cổ phiếu nào đó với số lượng nhiều, số lượng người mua tăng thì lúc này tất nhiên giá cổ phiếu sẽ có xu hướng tăng lên và ngược lại, nếu như họ có xu hướng bán, không có nhu cầu với mua bán thì điểm chứng khoán sẽ giảm.
- Số lượng doanh nghiệp niêm yết mới và bị hủy niêm yết: Những doanh nghiệp chưa có hoặc không có sức tác động mạnh mẽ thì cũng không gây ảnh hưởng nhiều đến điểm chứng khoán, nhưng với những doanh nghiệp lớn thì khác nó đóng góp lớn vào giá trị thị trường chứng khoán, làm thay đổi cục diện trên toàn thị trường.
Cách tính điểm chứng khoán chính xác
Cách tính điểm chứng khoán
Để tính được điểm chứng khoán cơ bản, thì các nhà đầu tư thực chất không cần thiết phải tính bởi các sàn chứng khoán sẽ công bố mỗi phiên hằng ngày và sẽ thay đổi linh hoạt theo thông tin biến động của giá cổ phiếu trên toàn thị trường.
Cách tính chỉ số VN – Index như sau:
VN-Index = (Tổng giá trị thị trường của các cổ phiếu niêm yết hiện tại / Tổng giá trị của các cổ phiếu niêm yết cơ sở) x 100
• Chỉ số = Giá trị vốn hóa thị trường hiện tại / Hệ số chia
Ví dụ minh họa:
Ta có giá trị vốn hóa hiện tại đang là:
- Tổng giá trị hiện tại của các cổ phiếu được niêm yết trên thị trường: 415.082.000.000
- Tổng giá trị của các cổ phiếu niêm yết cơ sở: 344.100.921.000
Vậy chỉ số điểm Vn–Index = 415.082.000.000/ 344.100.921.000 x 100 = 120,6 => 120,6 điểm chứng khoán.
Ngoài ra kết quả của VN – Index sẽ được thể hiện bằng % và sẽ chuyển sang điểm để nhà đầu tư dễ nhận biết.
Trong trường hợp xảy ra thêm hay bớt cổ phiếu thì sẽ có sự điều chỉnh trong số chia. Vì thế số chia mới lúc này sẽ được điều chỉnh cụ thể:
d = Tổng giá trị thị trường của các cổ phiếu niêm yết cũ + giá thị trường của cổ phiếu mới niêm yết/ Tổng giá trị thị trường của các cổ phiếu niêm yết cũ x số chia cũ

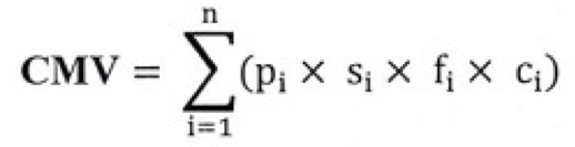
Cách tính chỉ số Vn – Index
Trong đó:
• CMV: là giá trị vốn hóa của thị trường hiện tại
• i = 1, 2, 3,.. n
• n: Là số cổ phiếu trong rổ chỉ số
• pi: Giá cổ phiếu i tại thời điểm tính toán
• si: Khối lượng cổ phiếu đang lưu hành của cổ phiếu i tại thời điểm tính toán
• fi: Tỷ lệ free-float làm tròn của cổ phiếu i trong rổ chỉ số tại thời điểm tính toán
• ci: Tỷ lệ giới hạn tỷ trọng vốn hóa (chỉ tiêu này để tránh tình trạng một cổ phiếu đơn lẻ hay một nhóm cổ phiếu có liên quan chiếm tỷ trọng vốn hóa quá lớn)
MyTrade – Nền tảng đầu tư chứng khoán tối ưu

- Tối ưu vốn đầu tư: Đối với những giao dịch Chứng khoán phái sinh thì ở một số các nền tảng khác thường có mức ký quỹ là 5%, thì tại MyTrade các nhà đầu tư sẽ chỉ phải ký quỹ là 4%. Từ đó, sẽ tối ưu được số vốn đầu tư, tăng thêm cơ hội thu về khoản lợi nhuận tối đa cho quý nhà đầu tư.
- Tối ưu thuế/phí: Hiện nay, khi thực hiện các giao dịch Chứng khoán phái sinh trên nhiều nền tảng khác nhau, dù giao dịch có lợi nhuận hay chưa có lợi nhuận thì các nhà đầu tư đều sẽ phải tự chịu những loại thuế và phí theo quy định tại các Sàn giao dịch. Nhưng khi giao dịch tại MyTrade, nhà đầu tư sẽ chỉ mất phí khi giao dịch có lợi nhuận. Với ưu điểm này thì sẽ giúp các nhà đầu tư tiết kiệm tối đa được khá nhiều loại chi phí.
- Tối ưu lợi nhuận: Hiện nay MyTrade có đội ngũ các chuyên gia nhiều kinh nghiệm, sẵn sàng hỗ trợ nhà đầu tư 24/7. MyTrade đồng hành cùng với khách hàng, tận dụng tối đa mọi cơ hội của thị tường để mang lại những khoản lợi nhuận tối ưu nhất cho khách hàng.
Tóm lại thông qua điểm chứng khoán của Vn – Index các nhà đầu tư hoàn toàn có thể đưa ra những nhận định cơ bản về thị trường chứng khoán, các phiên giao dịch chứng khoán, từ đó sẽ đưa ra những quyết định mua bán phù hợp nhất. Đôi khi có một số cổ phiếu sẽ đi ngược lại với xu hướng chung của thị trường, do chỉ số chứng khoán là tổng hợp toàn thị trường không phải riêng lẻ nên các nhà đầu tư cần phải phân tích giá cổ phiếu của mình đang đầu tư hiện nay.
Những thông tin chia sẻ và giải thích về điểm chứng khoán là gì trên đây của Mytrade hy vọng sẽ mang đến những lợi ích dễ hiểu hơn về các chỉ số chứng khoán hiện nay trên thị trường. Việc nắm bắt được các thông tin về điểm chứng khoán, điểm Vn Index… sẽ giúp những người giao dịch định hình thị trường chung nhanh chóng, không mất nhiều thời gian nghiên cứu.
Để biết thêm các thông tin về chứng khoán mời các bạn xem bài viết tiếp theo tại https://mytrade.vn/ hoặc liên hệ theo số Hotline 1900966935 – 0983.668.883 để các bạn chuyên viên có thể hỗ trợ tốt nhất.